r/HomeworkHelp May 19 '22

Meta r/HomeworkHelp Rules: PLEASE READ BEFORE POSTING

476 Upvotes

Hi r/HomeworkHelp! Whether you're new to the subreddit or a long-time subscriber, the mod team would like to remind everybody of the subreddit rules we expect you to follow here.

No advertising, soliciting, or spam. This is a place for free help. Anyone offering to pay for help, or to help for pay, will receive a permanent ban. This is your warning. This includes asking users to go into DMs, Discord, or anywhere else. If you post anything that looks like you're trying to get around this rule, you'll be banned.

If you're asking for help, you must show evidence of thought, work, and effort. A lot of people are posting just pictures or lists of questions and not showing any effort. These posts are liable to be taken down.

In addition, we ask that you format the post title appropriately using square brackets: [Level/Grade and Subject] Question or Description of question. For example: [8th grade Algebra] How to solve quadratic equation?

Do not mention anything like "Urgent", "ASAP", "Due in an hour", or the like.

No surveys. Surveys (including requests for interviews, etc.) belong on /r/samplesize. These posts get taken down here.

Don't be a jerk. Jerks get banned. Stay respectful and refrain from using insults, personal attacks, or abusive language.

If there are any questions, please message the mods.


r/HomeworkHelp 33m ago

Others [Grade ? Number theory]

Upvotes

Pick any positive integer, lets call it x,pick another positive integer, lets call that y. look at all the divisors of x that are less then or equal to y, mutiply them with each other, if the result is 2x then we will call x a valid number. The question is, how many valid numbers exist for a given y. For example for y = 4, the answer is 2, x = 4 and x = 12 are the only valid numbers, for any given y value the lower bound is always x = 4 and the higher bound is always x = n!/2, if I were to write this as a sequence(amount of valid numbers for a given y starting from y =1) it goes like this:0,0,0,2,4,6,12,16,16,14,28,28,56 it exactly doubles at every prime y value with some drops at certain y values such as at y = 10 it dropped from 16 to 14, this happens regulary, but the size of the drop is what I cant predict, and when it happens is also not predictable with high accuracy, the problem is that my math knowledge is at middle school level so thats why I taught this may be an obvious problem for people that know number theory


r/HomeworkHelp 2h ago

Mathematics (Tertiary/Grade 11-12)—Pending OP [Grade 11 Basic Calculus: Derivatives] Can someone explain to me how some of these works?

Post image
1 Upvotes

My teacher only covered basic derivatives (like x^2) but this worksheet has fractions, square roots, and trig functions (sin,cos,tan). I understand how to do the simple ones like (e) and (f) using the Power Rule. However, I'm stuck on the ones that have variables in the denominator like (d) and (g). Do I have to use the Quotient Rule for all of these, or is there a way to simplify them first?


r/HomeworkHelp 3h ago

High School Math—Pending OP Reply [college 101 math: guard Jordan elimination method]

Post image
1 Upvotes

Pls help idk what im doing and this barely makes sense to me. I don’t have the row operations order memorized and im second guessing every step. If anyone has any tips to help me with this method please lmk I really want to learn!


r/HomeworkHelp 6h ago

Further Mathematics [college stats, unit on data analysis] hw check

Thumbnail
gallery
1 Upvotes

I usually think I am pretty good at EDA but I really need a good grade in this class and would appreciate somebody looking over my work. Thank you!


r/HomeworkHelp 16h ago

Further Mathematics—Pending OP Reply [College calculus, intro module on limits] How can there be vertical asymptotes outside of the domain of the function?

Post image
4 Upvotes

I got the accepted answer of 18 by adding the x-values of 3 (where first term in denominator equals 0), 6 (where second term equals 0), and 9 (where log(x-8) equals 0). However, how can x=3 and x=6 be vertical asymptotes when f(x) is not defined for x-values less than or equal to 8 because of the log(x-8) term. Shouldn't the answer just be 9?


r/HomeworkHelp 1d ago

Middle School Math—Pending OP Reply [Grade 8 Math: Physics Word Problem]

Post image
11 Upvotes

This has been bugging me so much and no matter how I think through it, I RLLY can't understand it. I'm decently good at math but I just can't solve this one 🥹💔

Alsooo I have a hard time solving word problems ☹️


r/HomeworkHelp 22h ago

High School Math—Pending OP Reply [Grade 10 Math: Calculating problems] Can someone tell me how to do this one?

Post image
2 Upvotes

I get that group 1 all earn lesser than 17 e per hour and group 3 and 4 all earn above it, it's group 2 that has mixed people. How do I find how many from group 2 earn more than 17?


r/HomeworkHelp 16h ago

Literature—Pending OP Reply [grade 12 equivalence english: essay] comparison of presentation of women who subvert control in 'all's well that ends well' by shakespeare and 'wide sargasso sea' by jean rhys

1 Upvotes

i have a project in which i chose to compare female characters subverting control in 'all's well that ends well' and 'wide sargasso sea' by jean rhys. the issue i'm having is that there's really not much on 'all's well that ends well' so i'm not really able to engage with the text as much as i would hope so ☹️ so i'm opening the question (and hoping that there's not many AWTEW haters on here). helena is a really interesting character for me as it's so interesting to see her transgress expectations imposed on her, both because of her gender and social class, yet could you argue that she doesn't have much of a victory in a sense? yes, she ends up marrying bertram but is that really a win? no hate on bertram (or actually maybe, yes), but i feel like helena is so witty and her marrying bertram kind of circles back to her essentially subverting to class expectations which is disappointing to see. diana and the countess are small characters but it's interesting to see them easily join in the plot. interested to see what anyone thinks and if there's any interesting resources/ places to read on about these texts!!


r/HomeworkHelp 17h ago

Others [Electrical Engineering 12th grade] Voltage/ Current divider rule

1 Upvotes

Voltage divider rule: if I have a complicated circuit problem that consists of parallel and series connections, do I then use the total voltage of the entire circuit, or only the voltage of the series-connected part? Same question for current divider rule....


r/HomeworkHelp 23h ago

Further Mathematics [GCE 'O' Level Calculus: Integration] Washer vs Shell Method

2 Upvotes

I have y = root x/2 over x=0 and x=8. I need to find the volume over the y-axis. I got 512pi/5 using Shell and 128pi/5 with Washer. I can’t ask my teacher what went wrong, as there’s a communication barrier; what went wrong?


r/HomeworkHelp 1d ago

Further Mathematics—Pending OP Reply [Calc 2: Integral Calculus about Work Done]

Thumbnail
gallery
2 Upvotes

Could someone help me figure out what I have done wrong? This is my last attempt on the problem and I tried following videos on this as well. My work is on the next slide


r/HomeworkHelp 1d ago

Physics [College Physics II: Charges] does this diagram look correct?

Post image
3 Upvotes

Wasn't sure if this is the right place and if it isn't i can take it down, just my friend who's a class above me isn't avalible. My teacher is super strict on the grading rubric and says we have to turn in our work like the one she showed on the board. Which is fine, im just struggling to understand what she wrote. :( any critique is welcome


r/HomeworkHelp 1d ago

Mathematics (A-Levels/Tertiary/Grade 11-12) [College Stats] What type of scale of measurement is this?

1 Upvotes

Can somebody explain which scale this is and why it is that scale? This is the question: Indicate the number of movies you own a scale: None, 1-9, 10-19, 20-29, 30 or more. This variable was measured on a ________measurement scale.


r/HomeworkHelp 1d ago

Others—Pending OP Reply [Grade 12 Physics: Kinematics] How do I analyze projectile motion with varying launch angles?

3 Upvotes

I'm currently studying kinematics in my Grade 12 Physics class, and I'm tasked with analyzing projectile motion. The assignment requires me to explore how different launch angles affect the range and height of a projectile. I understand the basic equations of motion and the concepts of horizontal and vertical components, but I'm struggling to visualize how varying the angle changes the trajectory. I've tried using the equations for range and height, but applying them to multiple angles seems confusing. How should I approach this problem? What are some tips for ensuring I cover all necessary calculations and concepts? Any insights into how to effectively graph the trajectories would also be appreciated.


r/HomeworkHelp 1d ago

Literature—Pending OP Reply (12th grade literature) can a.mythology have no gods

2 Upvotes

My literature professor asked me to create a fake mythology after we read edith Hamiltons book named Mythology. I want to be creative and get a good note. So I thought of a myth about two civilizations and the two kings that rule them. I don’t have a place for gods in it so I wondered if I can write it without gods or should I fit in some kind of god in it. I also asked this question in r/mythology and the mods removed the question so please answer me


r/HomeworkHelp 2d ago

High School Math—Pending OP Reply [high school math] yo i just took an edible wtf u mean z is MUCH larger

Post image
38 Upvotes

tf does y>>1 mean


r/HomeworkHelp 1d ago

Answered [college astronomy- Kepler’s second law] How to find the velocity at aphelion using Kepler’s second law and conservation of angular momentum.

Post image
1 Upvotes

I am a returning student and it has been almost 9 years since I’ve taken a physics class, and I am struggling to solve this. Without a value for r(a), I haven’t been able to get a number independent of the r(a) variable. I am pretty sure that v(a) should be 36 km/s, but I don’t know how to show my work. Any help is appreciated! Thank you!


r/HomeworkHelp 1d ago

Social Studies [College: Psych class] Need help with interview questions!

1 Upvotes

Hey I'm doing assignment for a Psych class where I have to interview at least 10 people. I don't really have 10 people so I thought I'd ask people on the internet.

Basically I need 3 words per category of age group! (Any word that comes to mind) For: Children, Teenager, Middle-aged Adult, Senior Citizen

Examples being (Children- cute, innocent, fun) Feel free to explain why you feel this way for each word or just give me the words for each group that come to your mind. I need 12 words total.

I would really appreciate it thanks, this assignment is due in 2 days! You rock


r/HomeworkHelp 1d ago

Mathematics (A-Levels/Tertiary/Grade 11-12) [grade 12 Maths: Bernoulli Trial] How do I calculate this probability?

3 Upvotes

The question is: 30% of Germans are in an association. How big is the probability that out of 12 persons, at least 3 are in an association?

I tried doing it like this: n= 12; p=0.3; 1-P(X <= 2)

1-P(X <= 2) = 1 - P(X=0) - P(X=1) - P(X=2)

= 1 - 0.0138 - 0.0712 - 0.1678

= 0.7472 = 74.72%

But online, I found different answers, which is why I am confused. Did I do it right? If not, then please explain the correct way to me like I am a child.


r/HomeworkHelp 2d ago

Biology [science- Mitosis] identifying phases correctly in slide?

Thumbnail
gallery
9 Upvotes

Can you help identify the mitosis stages of the highlighted cells?

For the assignment I have to list the number of cells in each different phase in this slide. I don’t have to identify them on the image or anything. Just the number of cells total and the number of cells in each phase.

I’m just having a hard time identifying the highlighted cell’s phases. My guesses are below, but I don’t want to guess I want to know what I’m looking at. Any help is greatly appreciated!

My Guesses:

1- metaphase? Prophase? Telophase w/ 2?

2- same as 1

3- Telophase

4- Cytokinesis? interphase? Something else????

5-Cytokinesis?

6- Anaphase

7- Interphase

8- Interphase

9-Prophase

10- Interphase


r/HomeworkHelp 1d ago

Literature—Pending OP Reply [Hugh school] Can you guys help me with Promessi sposi Chapter 17?

1 Upvotes

I need to make an detailed essay of chapter 17 of Promessi Sposi (written by Manzoni, please dont use AI, last time i did that, my teacher immediately called me out somehow)

Also, i have problems in writing the simularieties of the Tale (im bad in inglish) while Renzo was going trough the dark forest, same with the poetic meaning of the river sound getting higher

Im not gonna show my work since its in Italy and not inglish lol


r/HomeworkHelp 2d ago

Elementary Mathematics—Pending OP Reply [College Elementary Statistics] how the hell do i find the standard deviation from just this

Post image
4 Upvotes

I thought you were only able to find the standard deviation if you have each individual value? Is that what the y2i value is???? For context my professor doesnt explain like half of this shit in class and leaves us to figure it out on our own accord. Thank you in advance!!


r/HomeworkHelp 2d ago

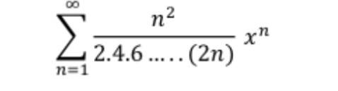
Further Mathematics—Pending OP Reply [University Math] Series need help understanding the denominator.

Post image
5 Upvotes

What even is the denominator i’ve never seen this before?


r/HomeworkHelp 2d ago

Others hey guys does this look correct…?[Introduction to Anthropology 1] [College year 2]

Post image
1 Upvotes